А Практикум по теме презентация

Слайд 1 х2 = а
Если а 0, то решений нет.
Если а =

0, то х = 0.
Если а 0, то и


Слайд 2


Слайд 3 Примеры
а) х2 = 16,

и
Ответ: -4; 4.

б) х2 = 3, и
Ответ:

в) х2 = - 4 – решений нет.

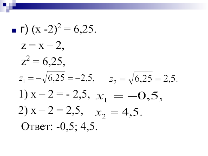
Слайд 4г) (х -2)2 = 6,25.
z = х – 2,


z2 = 6,25,

1) х – 2 = - 2,5,
2) х – 2 = 2,5,
Ответ: -0,5; 4,5.

Слайд 5Помните:
«Образование есть то, что остается, когда все выученное уже забыто».

М. Лауэ

Слайд 6Домашнее задание
п. 13-14 повторить,
примеры из презентации записать,
выполнить задания в тетради:
а) х2

= 169
б) х2 = -225
в) х2 = 13
г) (х+0,5)2 = 0,04

Обратная связь

Если не удалось найти и скачать презентацию, Вы можете заказать его на нашем сайте. Мы постараемся найти нужный Вам материал и отправим по электронной почте. Не стесняйтесь обращаться к нам, если у вас возникли вопросы или пожелания:

Email: Нажмите что бы посмотреть 

Что такое ThePresentation.ru?

Это сайт презентаций, докладов, проектов, шаблонов в формате PowerPoint. Мы помогаем школьникам, студентам, учителям, преподавателям хранить и обмениваться учебными материалами с другими пользователями.


Для правообладателей

Яндекс.Метрика