Обучение с учителем. Линейная регрессия презентация

Слайд 1ОБУЧЕНИЕ С УЧИТЕЛЕМ & ЛИНЕЙНАЯ РЕГРЕССИЯ


Слайд 2ОБУЧЕНИЕ С УЧИТЕЛЕМ


Слайд 4НЕМНОЖКО ФОРМАЛИЗМА
X – input features
Y – target variable
(xi ; yi) –

training example
{ (xi ; yi) i = 1 … m } – training set

Слайд 5ЦЕЛЬ ОБУЧЕНИЯ С УЧИТЕЛЕМ
Prediction function h : X -> Y
Регрессия

– бесконечное множество
Классификация – конечное множество (дискретные величины)


Слайд 6ВСПОМНИМ ПРИМЕР


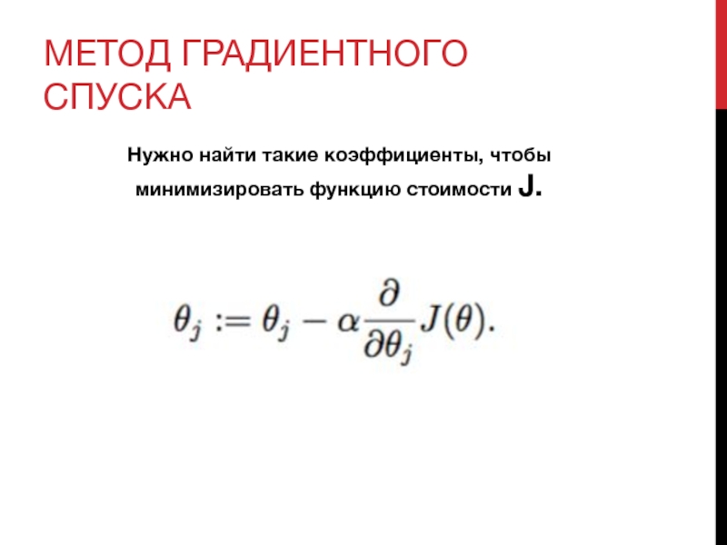
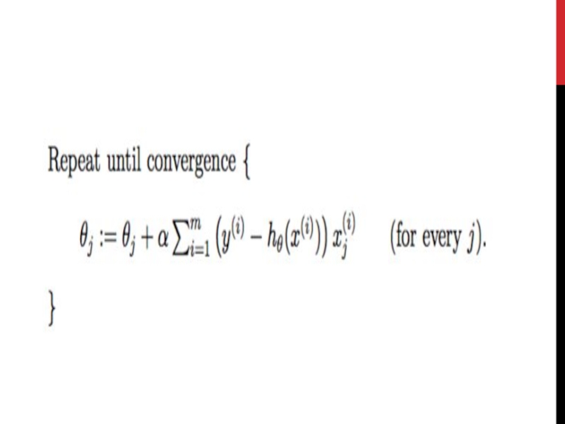
Слайд 8МЕТОД ГРАДИЕНТНОГО СПУСКА
Нужно найти такие коэффициенты, чтобы минимизировать функцию стоимости J.



Слайд 10ПСЕВДООБРАТНАЯ МАТРИЦА МУРА - ПЕНРОУЗА
Пусть A – m x n матрица.

Матрица C называется псевдообратной к A, если:
ACA = A
CAC = C
(AC)* = AC
(CA)* = CA
Обозначение: C = A+

Слайд 11СИСТЕМЫ ЛИНЕЙНЫХ УРАВНЕНИЙ И СВЯЗЬ С ЛИНЕЙНОЙ РЕГРЕССИЕЙ
Пусть Ax = B

– С.Л.У

Теорема Мура – Пенроуза:
x = A+B + (En – A+A)y, где y из Rn


Слайд 12ПРИМЕРЫ НЕЛИНЕЙНЫХ МОДЕЛЕЙ РЕГРЕССИИ


Слайд 13ПЕРЕОБУЧЕНИЕ И РЕГУЛЯРИЗАЦИЯ
Переобучение - нежелательное явление, возникающее при решении задач обучения

по прецедентам, когда вероятность ошибки обученного алгоритма на тестовой выборке оказывается существенно выше, чем средняя ошибка на обучающей выборке. Переобучение возникает при использовании избыточно сложных моделей
Недообучение - нежелательное явление, возникающее при решении задач обучения по прецедентам, когда алгоритм обучения не обеспечивает достаточно малой величиный средней ошибки на обучающей выборке. Недообучение возникает при использовании недостаточно сложных

Слайд 14РАЗБЕРЕМ ПРИМЕР
Будем апроксимировать

Обучающая выборка

Модель

Алгоритм

Тестовая выборка


Слайд 15P = 2 : НЕДООБУЧЕНИЕ


Слайд 16P = 20 : ОПТИМАЛЬНАЯ МОДЕЛЬ


Слайд 17P = 40: ПЕРЕОБУЧЕНИЕ


Слайд 18РЕГУЛЯРИЗАЦИЯ
Штраф к функции ошибки ( или функция стоимости )



Слайд 19СРАВНЕНИЕ


Обратная связь

Если не удалось найти и скачать презентацию, Вы можете заказать его на нашем сайте. Мы постараемся найти нужный Вам материал и отправим по электронной почте. Не стесняйтесь обращаться к нам, если у вас возникли вопросы или пожелания:

Email: Нажмите что бы посмотреть 

Что такое ThePresentation.ru?

Это сайт презентаций, докладов, проектов, шаблонов в формате PowerPoint. Мы помогаем школьникам, студентам, учителям, преподавателям хранить и обмениваться учебными материалами с другими пользователями.


Для правообладателей

Яндекс.Метрика