Урок 9 презентация

Слайд 1Урок 9
Уравнения, содержащие обратные
тригонометрические функции


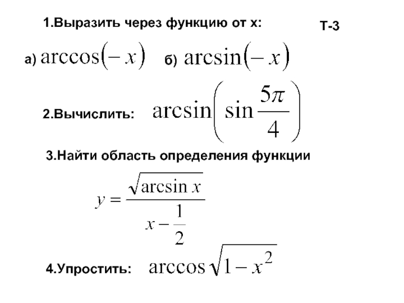
Слайд 21.Выразить через функцию от х:
2.Вычислить:
а)
б)
4.Упростить:
3.Найти область определения функции
Т-3


Слайд 3
Выразить arcsinx через другие функции.

















































Слайд 4Доказать, что

х
х


Слайд 5Решить уравнение:












Слайд 6Выразить arctgx через arccos


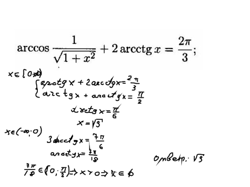
Слайд 8Решите уравнение:


Обратная связь

Если не удалось найти и скачать презентацию, Вы можете заказать его на нашем сайте. Мы постараемся найти нужный Вам материал и отправим по электронной почте. Не стесняйтесь обращаться к нам, если у вас возникли вопросы или пожелания:

Email: Нажмите что бы посмотреть 

Что такое ThePresentation.ru?

Это сайт презентаций, докладов, проектов, шаблонов в формате PowerPoint. Мы помогаем школьникам, студентам, учителям, преподавателям хранить и обмениваться учебными материалами с другими пользователями.


Для правообладателей

Яндекс.Метрика