Метод Замены множителейКуфтерин павел, радченко сергей, шахтарин никита 11 классМоу Лицей № 60 презентация

Содержание

Слайд 1МЕТОД ЗАМЕНЫ МНОЖИТЕЛЕЙ КУФТЕРИН ПАВЕЛ, РАДЧЕНКО СЕРГЕЙ, ШАХТАРИН НИКИТА 11 КЛАСС МОУ ЛИЦЕЙ

№ 60







Руководитель: учитель математики Ускова Н.Н.
МОУ лицей №60

2011 г.


Слайд 2

Теоретическая часть






Слайд 3Основная идея метода
Любое неравенство приводимо к виду
где символ «∨» обозначает один

из четырех возможных знаков неравенства: <, ≤, >, ≥.

(1)


Слайд 4Монотонность – ключ к замене
Утверждение 1. Функция

есть строго возрастающая тогда и только тогда, когда для любых двух значений из области определения функции разность совпадает по знаку с разностью , то есть

Утверждение 2. Функция есть строго убывающая тогда и только тогда, когда для любых двух значений из области определения функции разность совпадает по знаку с разностью , то есть

Комментарий. Практически, только замена знакопостоянных множителей не вытекает из этих утверждений. Поэтому, если нет желания трогать знак неравенства, всюду положительные множители просто убираем, а всюду отрицательные заменяем на (-1). Популярный знакопостоянный множитель – квадратный трехчлен с отрицательным дискриминантом – заменяем на старший коэффициент (или на свободный член), то есть

(2)


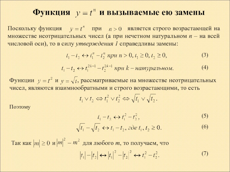
Слайд 5Функция и вызываемые ею замены
Поскольку

функция при является строго возрастающей на множестве неотрицательных чисел (а при нечетном натуральном n – на всей числовой оси), то в силу утверждения 1 справедливы замены:

Функции и , рассматриваемые на множестве неотрицательных чисел, являются взаимнообратными и строго возрастающими, то есть

Поэтому

Так как и для любого m, то получаем, что

(3)

(4)

(7)

(6)

(5)


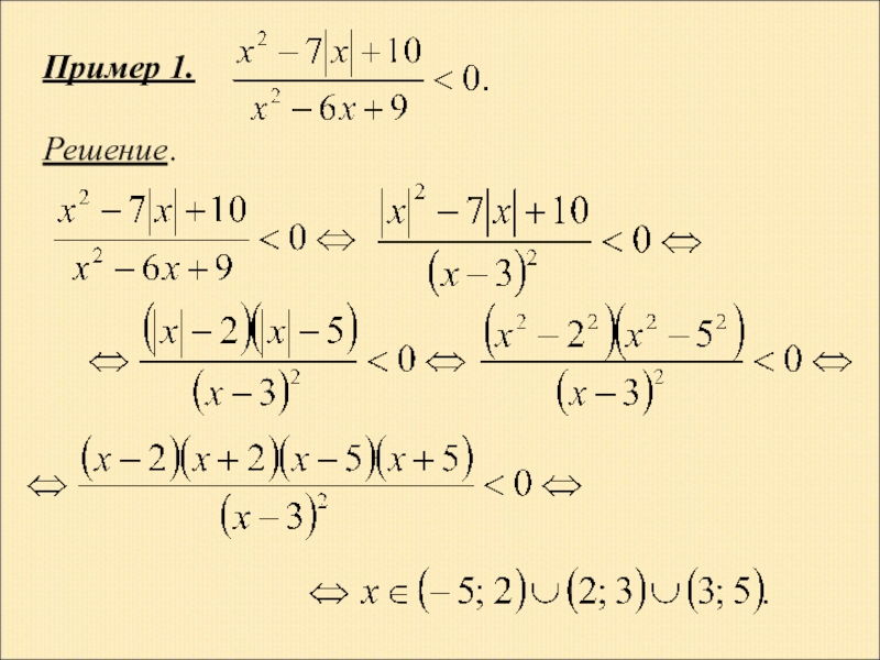
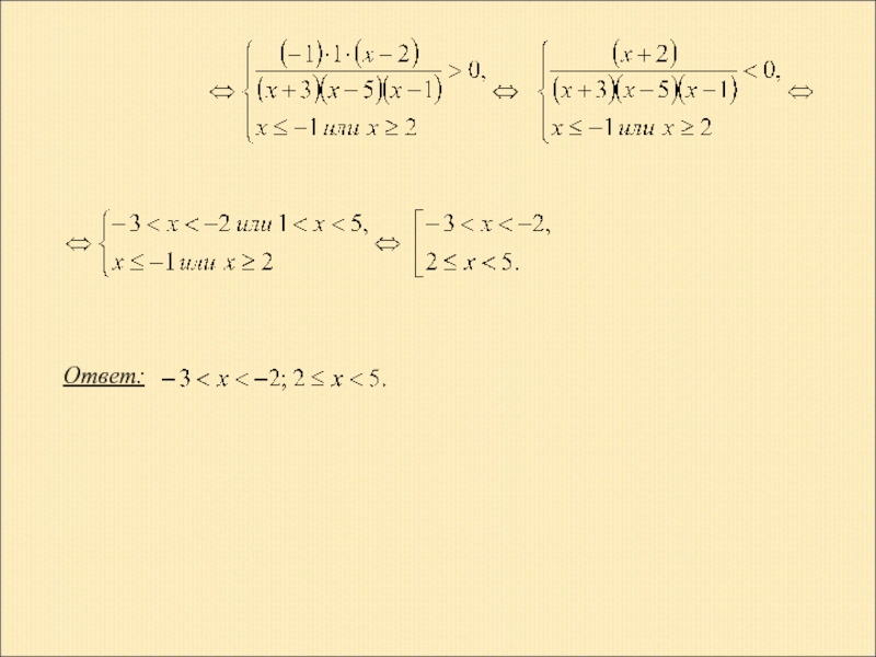
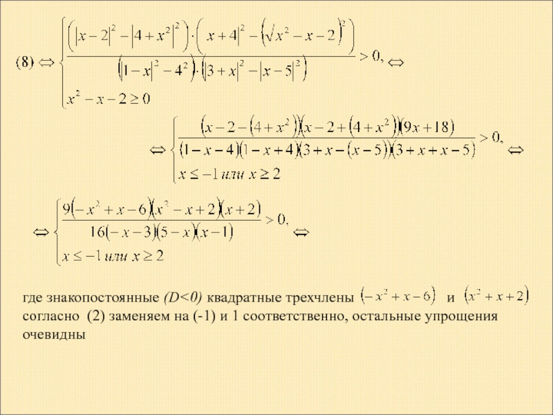
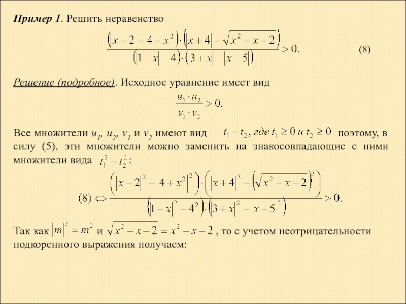
Слайд 6Пример 1. Решить неравенство
Решение (подробное). Исходное уравнение имеет вид
Все множители u1,

u2, v1 и v2 имеют вид поэтому, в силу (5), эти множители можно заменить на знакосовпадающие с ними множители вида :

(8)

Так как и , то с учетом неотрицательности подкоренного выражения получаем:


Слайд 7где знакопостоянные (D

и согласно (2) заменяем на (-1) и 1 соответственно, остальные упрощения очевидны

Слайд 8Ответ:


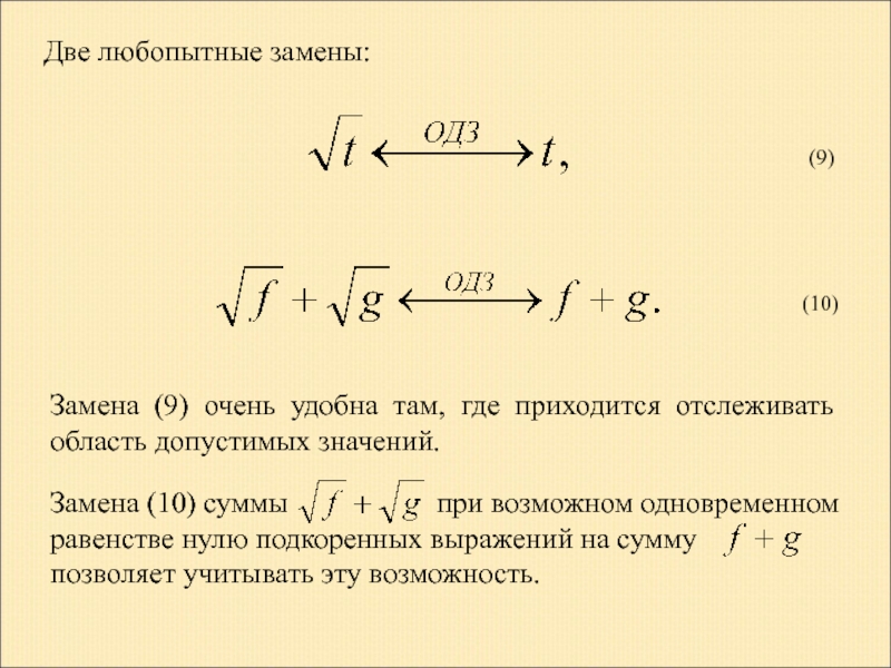
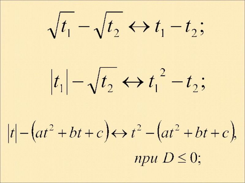
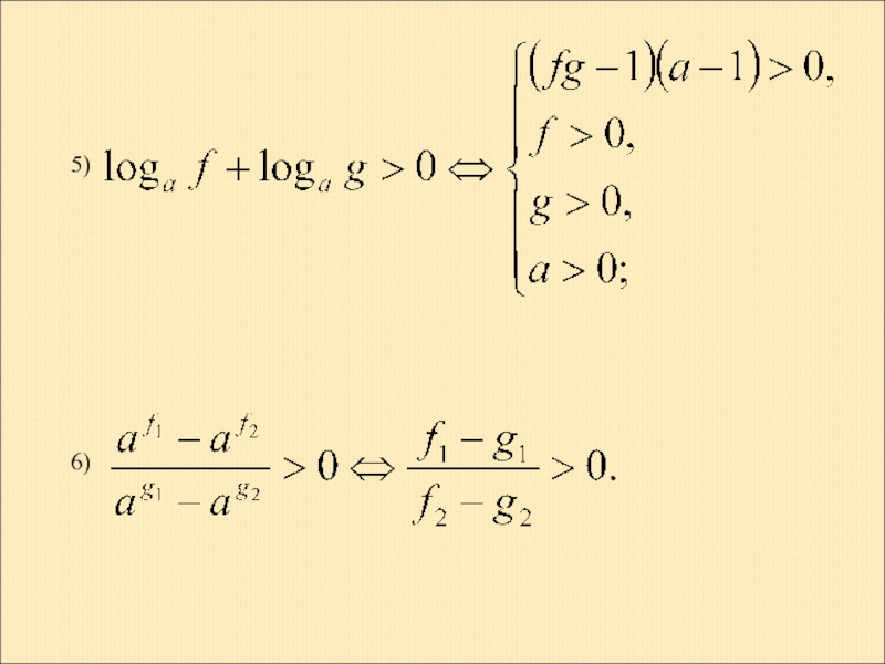
Слайд 9Две любопытные замены:
(9)
(10)
Замена (9) очень удобна там, где приходится отслеживать область

допустимых значений.

Замена (10) суммы при возможном одновременном равенстве нулю подкоренных выражений на сумму позволяет учитывать эту возможность.


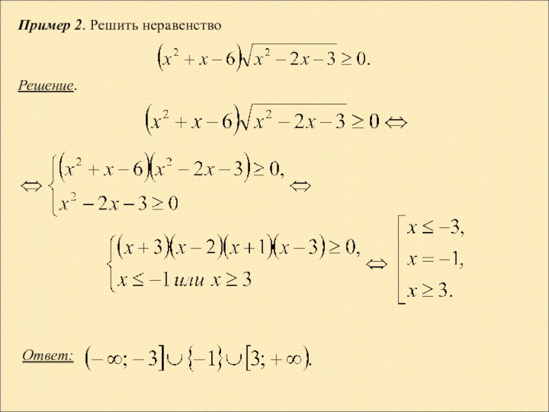
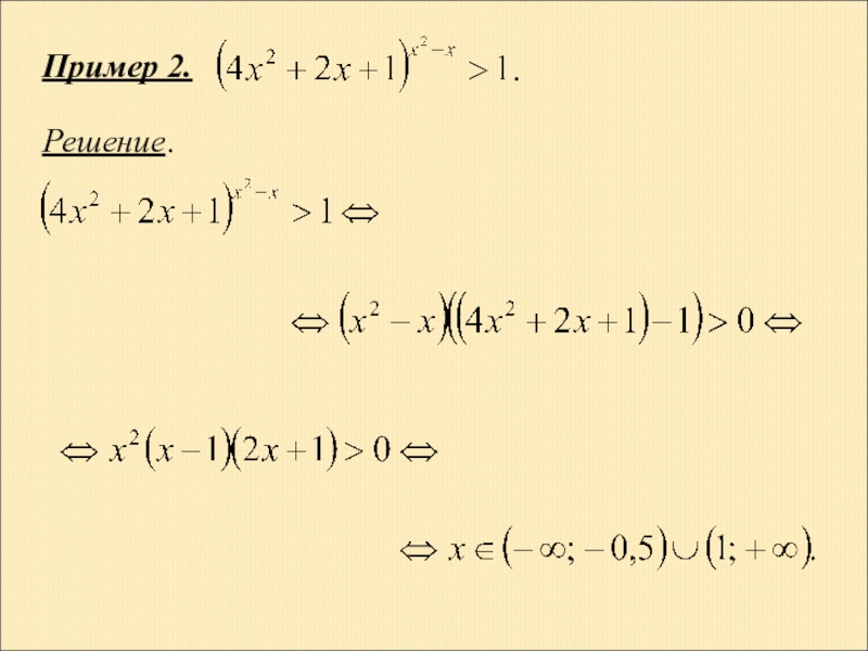
Слайд 10Пример 2. Решить неравенство
Решение.
Ответ:


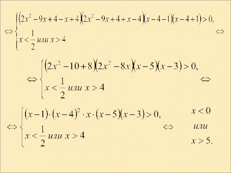
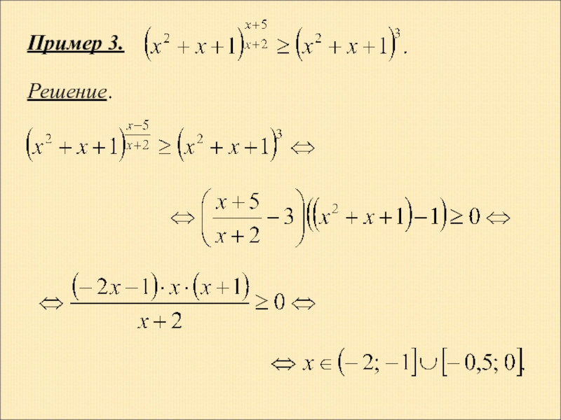
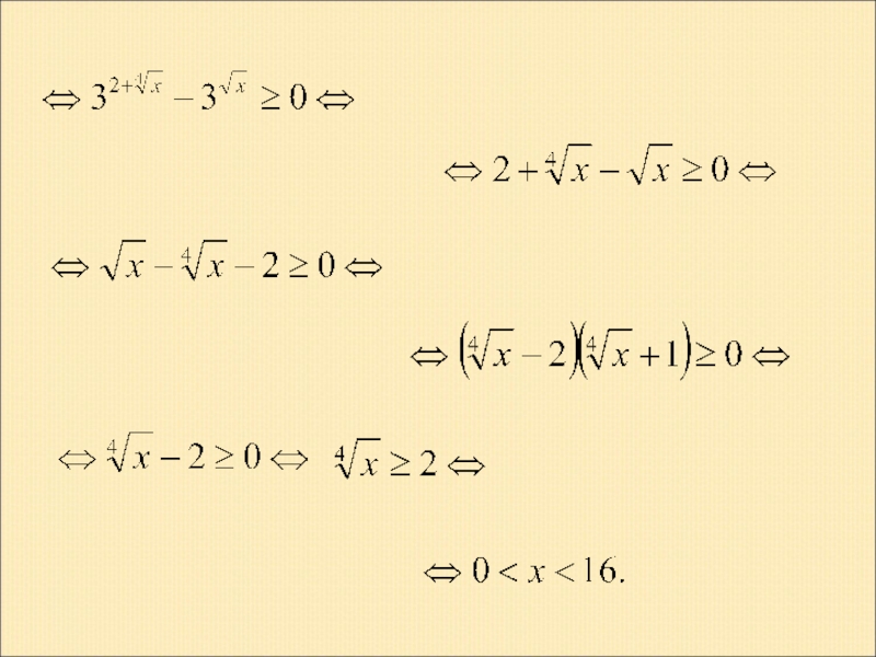
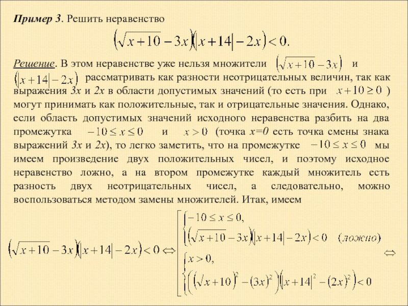
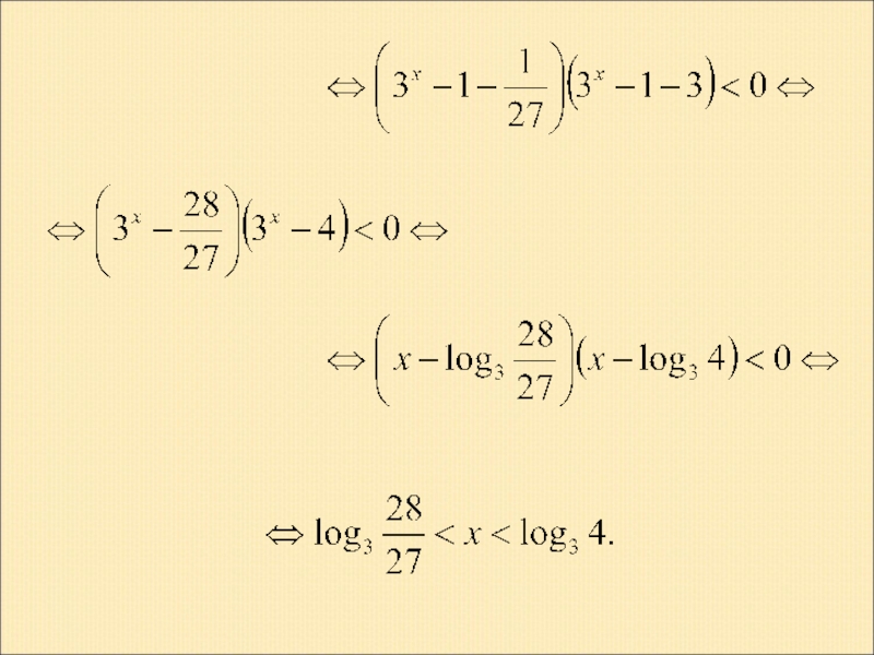
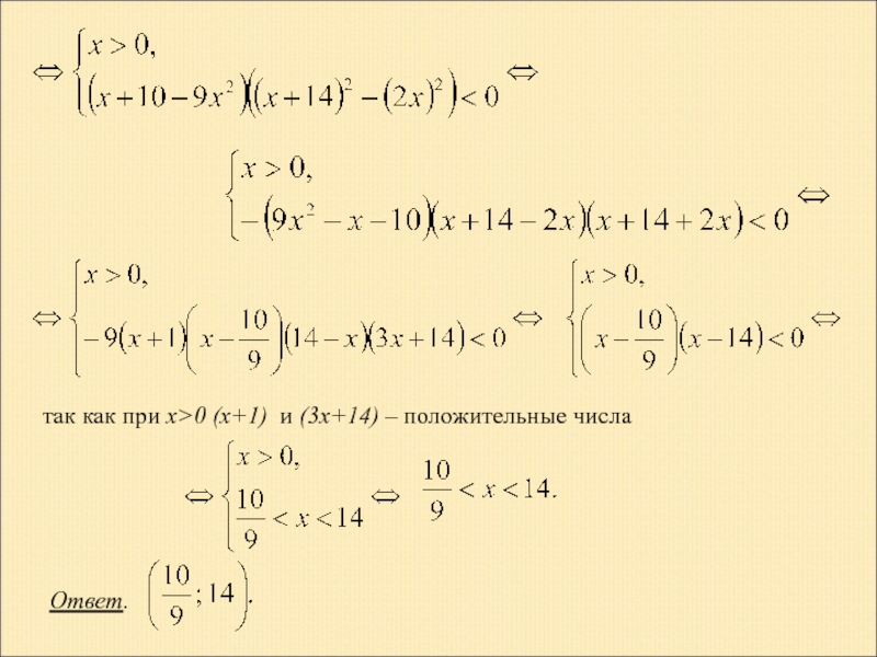
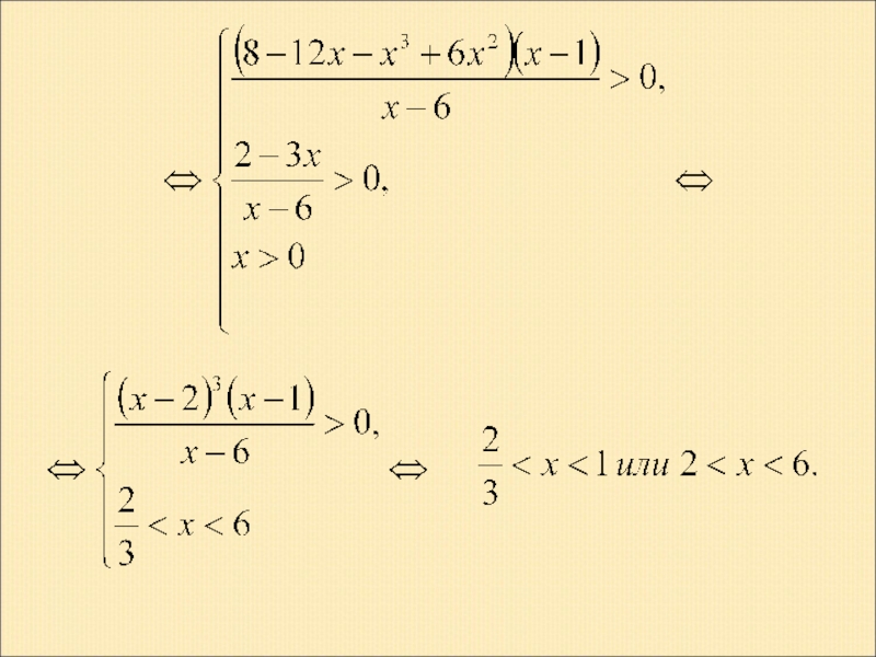
Слайд 11Пример 3. Решить неравенство
Решение. В этом неравенстве уже нельзя множители

и
рассматривать как разности неотрицательных величин, так как выражения 3x и 2x в области допустимых значений (то есть при ) могут принимать как положительные, так и отрицательные значения. Однако, если область допустимых значений исходного неравенства разбить на два промежутка и (точка x=0 есть точка смены знака выражений 3x и 2x), то легко заметить, что на промежутке мы имеем произведение двух положительных чисел, и поэтому исходное неравенство ложно, а на втором промежутке каждый множитель есть разность двух неотрицательных чисел, а следовательно, можно воспользоваться методом замены множителей. Итак, имеем

Слайд 12так как при x>0 (x+1) и (3x+14) – положительные числа
Ответ.


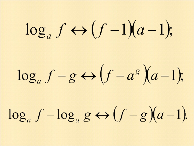
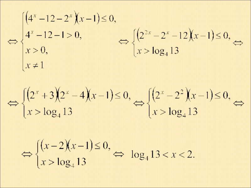
Слайд 13Показательная и логарифмическая функция
и вызываемые ею замены
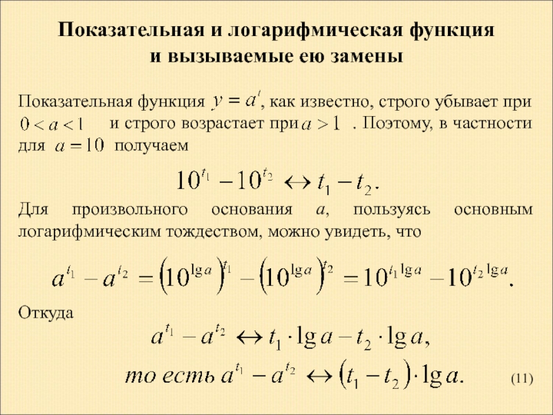
Показательная функция

, как известно, строго убывает при
и строго возрастает при . Поэтому, в частности для получаем

Для произвольного основания a, пользуясь основным логарифмическим тождеством, можно увидеть, что

Откуда

(11)


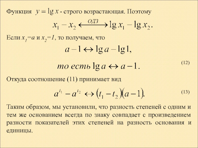
Слайд 14Функция - строго

возрастающая. Поэтому

Если x1=a и x2=1, то получаем, что

(12)

Откуда соотношение (11) принимает вид

(13)

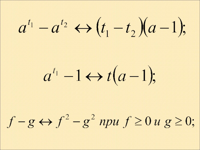
Таким образом, мы установили, что разность степеней с одним и тем же основанием всегда по знаку совпадает с произведением разности показателей этих степеней на разность основания и единицы.


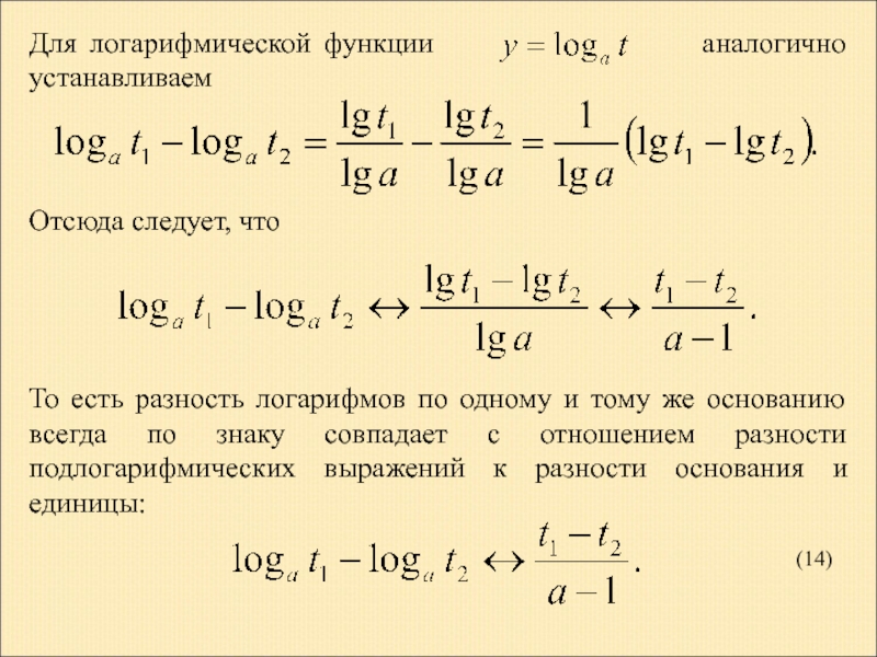
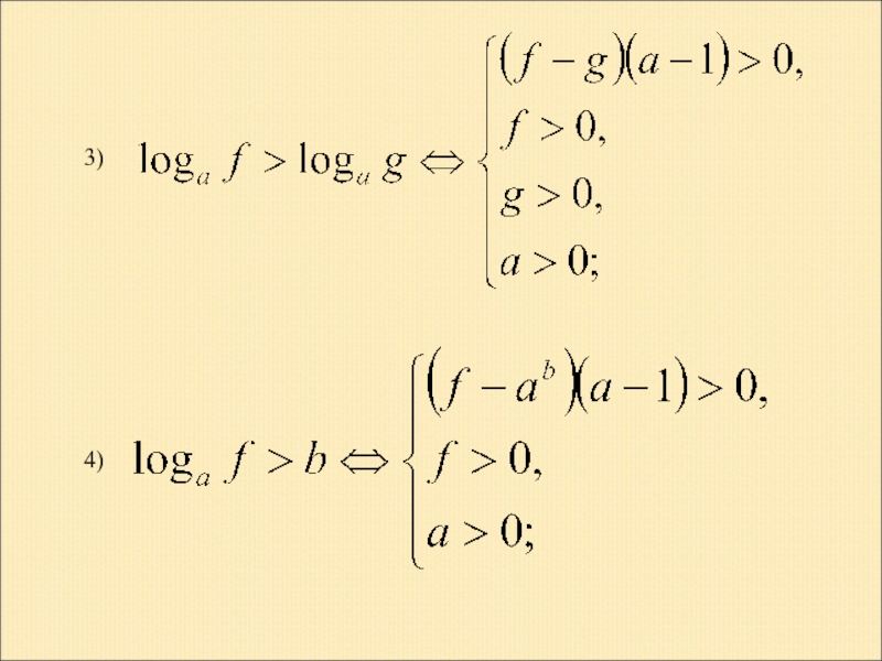
Слайд 15Для логарифмической функции

аналогично устанавливаем

Отсюда следует, что

То есть разность логарифмов по одному и тому же основанию всегда по знаку совпадает с отношением разности подлогарифмических выражений к разности основания и единицы:

(14)


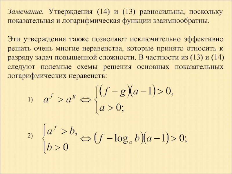
Слайд 16Замечание. Утверждения (14) и (13) равносильны, поскольку показательная и логарифмическая функции

взаимнообратны.

Эти утверждения также позволяют исключительно эффективно решать очень многие неравенства, которые принято относить к разряду задач повышенной сложности. В частности из (13) и (14) следуют полезные схемы решения основных показательных логарифмических неравенств:

1)

2)


Слайд 19

Практическая часть
Решение неравенств






Слайд 20Пример 1.
Решение.


Слайд 21Пример 2.
Решение.


Слайд 22Пример 3.
Решение.


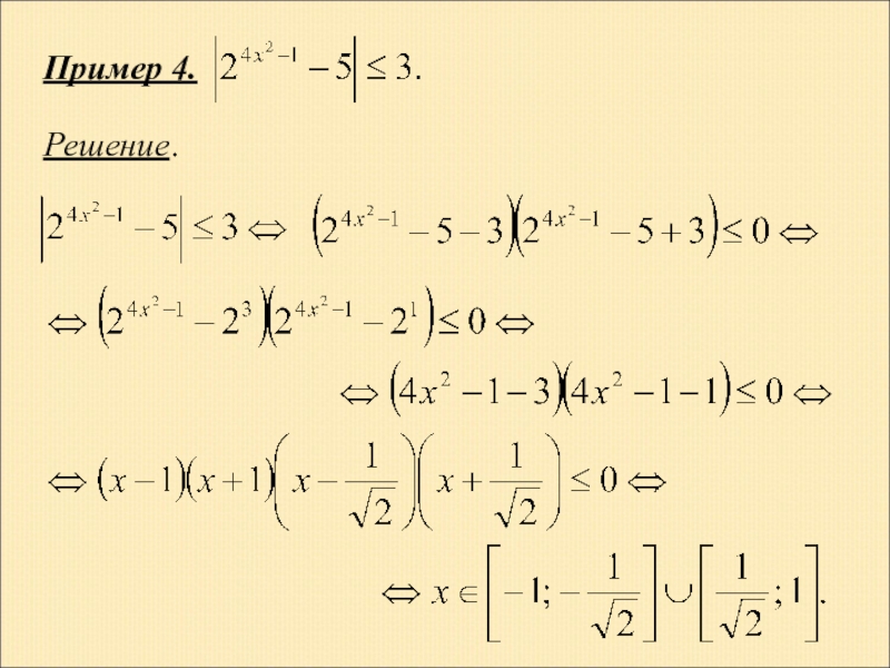
Слайд 23Пример 4.
Решение.


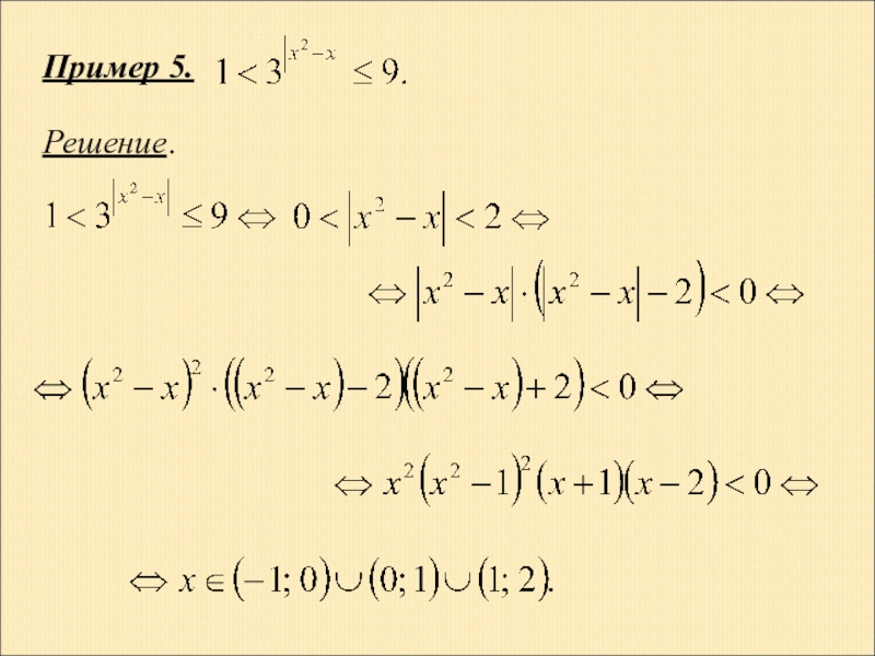
Слайд 24Пример 5.
Решение.


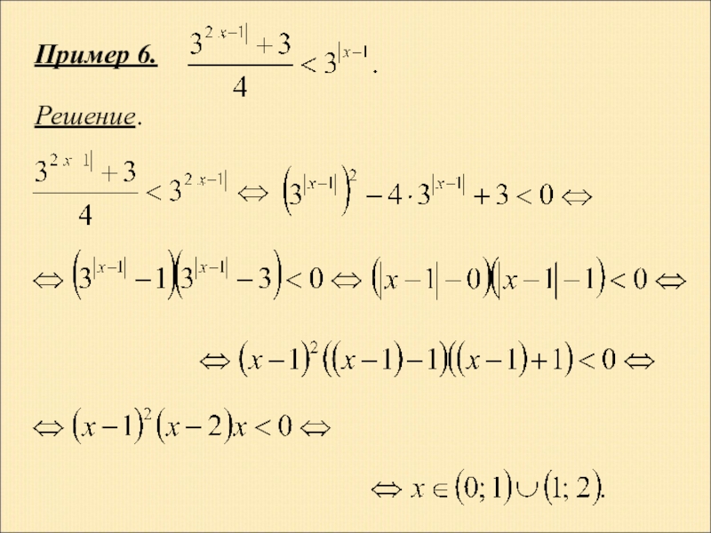
Слайд 25Пример 6.
Решение.


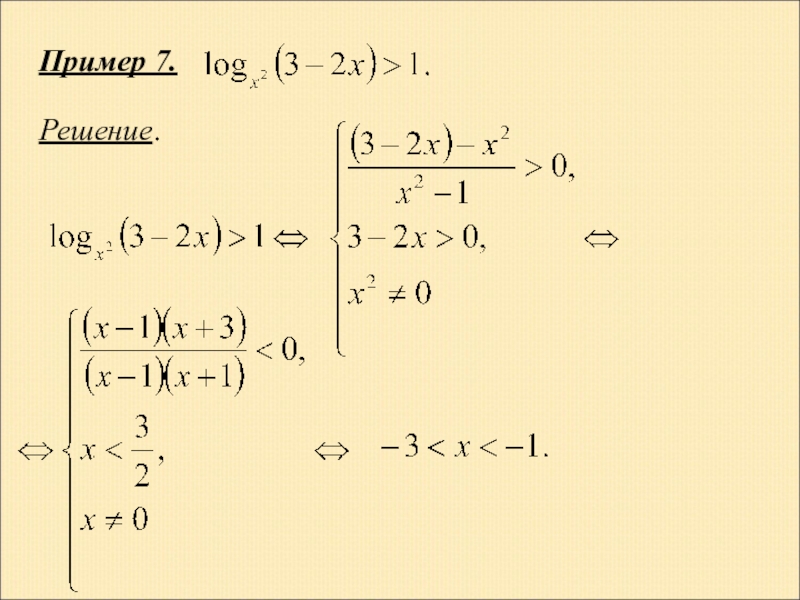
Слайд 26Пример 7.
Решение.


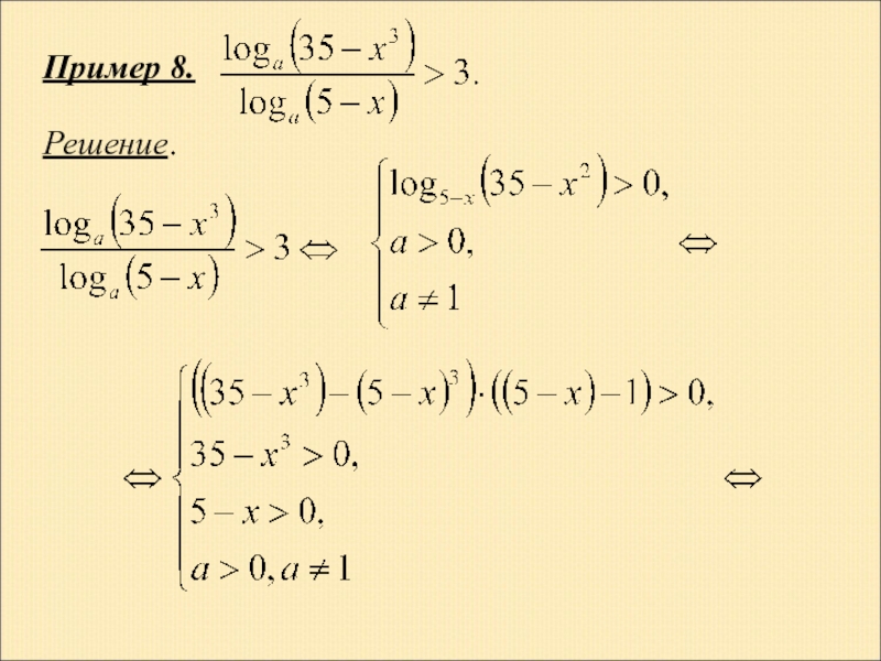
Слайд 27Пример 8.
Решение.


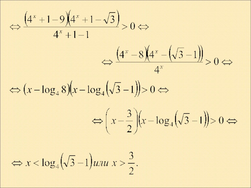
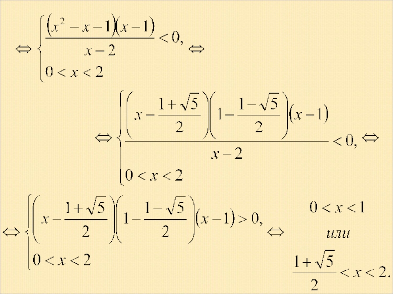
Слайд 29Пример 9.
Решение.


Слайд 31Пример 10.
Решение.


Слайд 33Пример 11.
Решение.


Слайд 35Пример 12.
Решение.


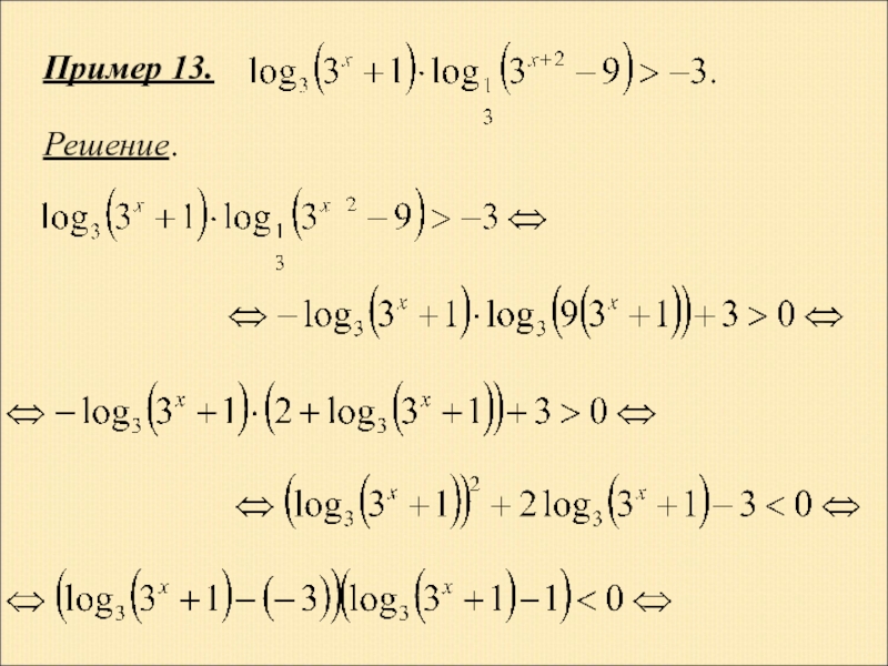
Слайд 37Пример 13.
Решение.


Слайд 39Пример 14.
Решение.


Слайд 40Пример 15.
Решение.


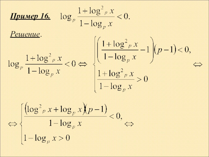
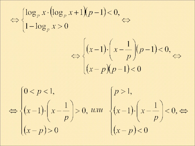
Слайд 42Пример 16.
Решение.


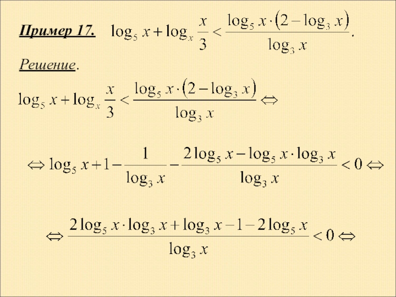
Слайд 45Пример 17.
Решение.


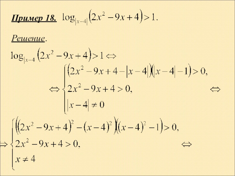
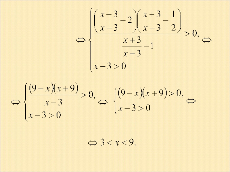
Слайд 47Пример 18.
Решение.


Слайд 49Пример 19.
Решение.


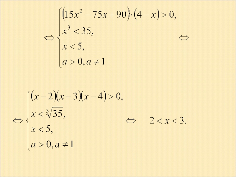
Слайд 50Пример 20.
Решение.


Слайд 52

Итоги






Слайд 53I. Стандартный вид неравенств, когда применяется метод замены множителей
где символ «∨»

обозначает один из четырех возможных знаков неравенства: <, ≤, >, ≥.

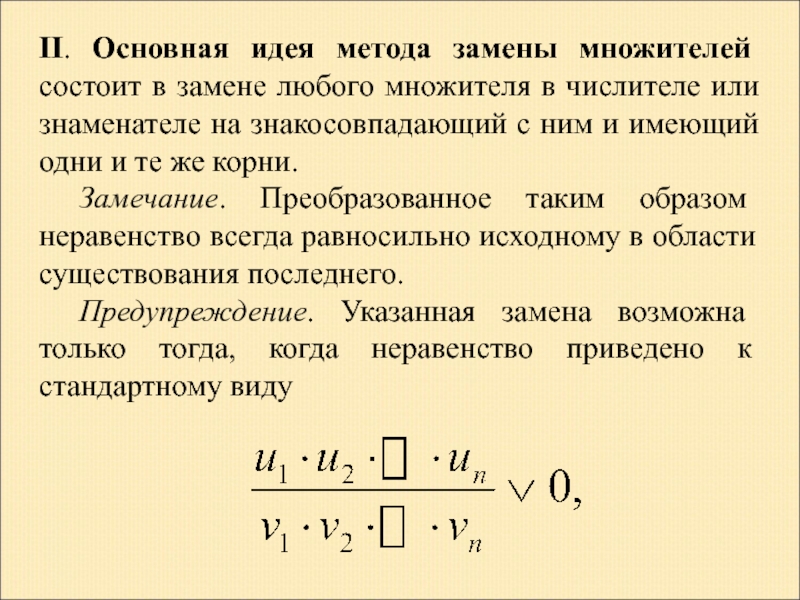
Слайд 54II. Основная идея метода замены множителей состоит в замене любого множителя

в числителе или знаменателе на знакосовпадающий с ним и имеющий одни и те же корни.
Замечание. Преобразованное таким образом неравенство всегда равносильно исходному в области существования последнего.
Предупреждение. Указанная замена возможна только тогда, когда неравенство приведено к стандартному виду

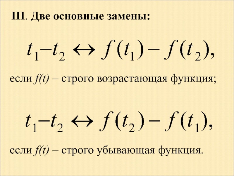
Слайд 55III. Две основные замены:
если f(t) – строго возрастающая функция;
если f(t) –

строго убывающая функция.

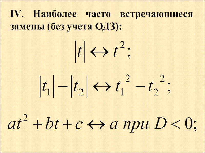
Слайд 56IV. Наиболее часто встречающиеся замены (без учета ОДЗ):


Слайд 60ИСПОЛЬЗОВАННАЯ ЛИТЕРАТУРА
Голубев В. И. Метод замены множителей, М: Архимед. Лекции и

задачи. Вып. 4., 2006 г.
Голубев В. И., Шарыгин И.Ф. Эффективный путь решения неравенств М. Квантор 1993 г.


Обратная связь

Если не удалось найти и скачать презентацию, Вы можете заказать его на нашем сайте. Мы постараемся найти нужный Вам материал и отправим по электронной почте. Не стесняйтесь обращаться к нам, если у вас возникли вопросы или пожелания:

Email: Нажмите что бы посмотреть 

Что такое ThePresentation.ru?

Это сайт презентаций, докладов, проектов, шаблонов в формате PowerPoint. Мы помогаем школьникам, студентам, учителям, преподавателям хранить и обмениваться учебными материалами с другими пользователями.


Для правообладателей

Яндекс.Метрика