Дайте определение арксинуса презентация

Содержание

Слайд 1Галимов Ф.Х. Туймазинский р-н
Дайте определение арксинуса


Слайд 2Галимов Ф.Х. Туймазинский р-н
Дайте определение арккосинуса


Слайд 3Галимов Ф.Х. Туймазинский р-н
Дайте определение арктангенса


Слайд 4Галимов Ф.Х. Туймазинский р-н
Дайте определение арккотангенса


Слайд 5Галимов Ф.Х. Туймазинский р-н

π/4
-π/4
π/3
-π/3
0
не существует


Слайд 6Галимов Ф.Х. Туймазинский р-н

π/4
3π/4
π/6
5π/6
не существует
π/2


Слайд 7Галимов Ф.Х. Туймазинский р-н
-π/6
π/6
5π/6
π/4
π/3
3π/4
π/4
-π/4
π/6
-π/3


Слайд 8Галимов Ф.Х. Туймазинский р-н
Имеют ли смысл выражения? Почему?


Слайд 9Галимов Ф.Х. Туймазинский р-н
Новая тема.
Решение простейших тригонометрических уравнений


Слайд 10Галимов Ф.Х. Туймазинский р-н
1. Уравнение cos x=a
Рассмотрим графическое решение этого уравнения.

Для этого построим два графика y=cos x и y=a

y=cosx

y=a

При а>1 или a<-1 уравнение решений не имеет.

y=a


Слайд 11Галимов Ф.Х. Туймазинский р-н
y=a
y=a
При aЄ[-1;1] уравнение cos x=a имеет бесконечное множество

решений.

Мы можем записать одно из решений для х Є[0; π].


x1=arccos a


Другие решения выразим через это решение.


x2=-arccos a


x3=arccos a-2π

-2π


+2π



x4=-arccos a+2π

Функция y=cos x имеет период 2π, поэтому остальные решения отличаются от х1 и х2 на 2πn, где nЄZ.
Таким образом все решения уравнения cos x=a записываются в виде

x=±arccos a+2πn, nЄZ


Слайд 12Галимов Ф.Х. Туймазинский р-н
y=1

Рассмотрим частные случаи решения уравнения cos x=a
1. cos

x=1

x=π/2

Остальные решения повторяются через 2πn, поэтому

x= 2πn, где nЄZ

2. cos x=0


x=0

Остальные решения повторяются через πn, поэтому

x= π/2 +πn, где nЄZ

3. cos x=-1

Остальные решения повторяются через 2πn, поэтому

x= π+ 2πn, где nЄZ

x=π




Слайд 13Галимов Ф.Х. Туймазинский р-н
1. Уравнение sin x=a
Рассмотрим графическое решение этого уравнения.

Для этого построим два графика y=sin x и y=a

y=a

Аналогично, при a>1 или a<-1 уравнение решении не имеет.


Слайд 14Галимов Ф.Х. Туймазинский р-н
y=a
При aЄ[-1;1] уравнение sin x=a имеет бесконечное множество

решений.

Мы можем записать одно из решений для х Є[- π/2; π/2].



x1=arcsin a

Другие решения выразим через это решение.

x2=π-arcsin a


Так-как функция y=sin x имеет период 2π, остальные решения отличаются от этих двух на 2πn, где nЄZ.

Получаем две группы решении
x1=arcsin a+ 2πn,
x2= π -arcsin a+ 2πn, где nЄZ,


Слайд 15Галимов Ф.Х. Туймазинский р-н
Получаем две группы решении
x1=arcsin a+ 2πn,
x2= π

-arcsin a+ 2πn, где nЄZ.

Эти две группы можно записать одной формулой
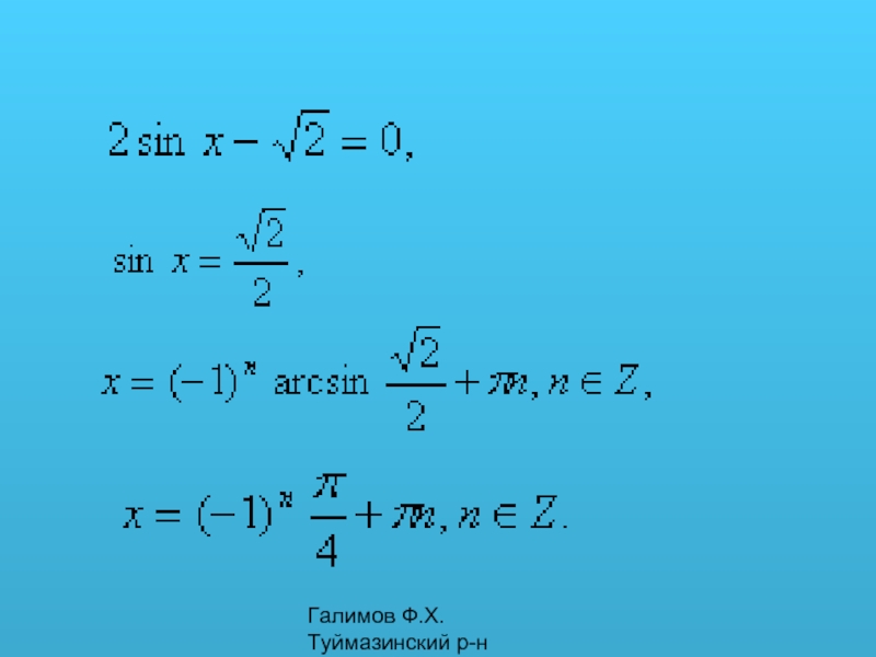
x=(-1)n arcsin a+ πn, где nЄZ


Слайд 16Галимов Ф.Х. Туймазинский р-н
y=1

Рассмотрим частные случаи решения уравнения sin x=a
1. sin

x=1

x=π/2

Остальные решения повторяются через 2πn, поэтому

x= π/2+ 2πn, где nЄZ

2. sin x=0


x=0

Остальные решения повторяются через πn, поэтому

x= πn, где nЄZ

3. sin x=-1

Остальные решения повторяются через 2πn, поэтому

x= -π/2+ 2πn, где nЄZ

x=-π/2



Слайд 17Галимов Ф.Х. Туймазинский р-н
Решите уравнения


Слайд 18Галимов Ф.Х. Туймазинский р-н


Слайд 19Галимов Ф.Х. Туймазинский р-н


Слайд 20Галимов Ф.Х. Туймазинский р-н


Слайд 21Галимов Ф.Х. Туймазинский р-н


Слайд 22Галимов Ф.Х. Туймазинский р-н


Слайд 23Галимов Ф.Х. Туймазинский р-н
С решением уравнении tg x=a и ctg x=a

попробуйте разобраться самостоятельно. Для этого в папке урок2 откройте веб страницу index и следуйте инструкциям.

Д/р:п.9,
№136(в,г),
№137(в,г),
№138(в,г),
№139(в,г).


Обратная связь

Если не удалось найти и скачать презентацию, Вы можете заказать его на нашем сайте. Мы постараемся найти нужный Вам материал и отправим по электронной почте. Не стесняйтесь обращаться к нам, если у вас возникли вопросы или пожелания:

Email: Нажмите что бы посмотреть 

Что такое ThePresentation.ru?

Это сайт презентаций, докладов, проектов, шаблонов в формате PowerPoint. Мы помогаем школьникам, студентам, учителям, преподавателям хранить и обмениваться учебными материалами с другими пользователями.


Для правообладателей

Яндекс.Метрика