Повторяем тему Правила вычисления производной презентация

Слайд 1Повторяем тему
«Правила вычисления производной»


Слайд 2ПРОВЕРКА ДОМАШНЕГО ЗАДАНИЯ


Слайд 4













Таблица производных


Слайд 5Таблица производных


Слайд 6Правила дифференцирования


Слайд 7Устно


Слайд 8Найти производную функции
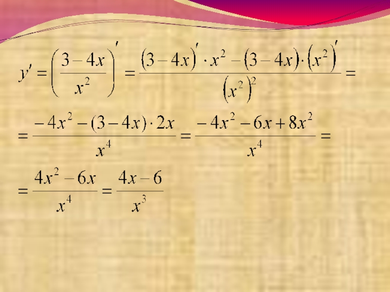
Решение


Слайд 9Решение


Слайд 10Решение


Слайд 11Решение


Слайд 12Решение


Слайд 136) Найдите значение производной функции
в точке
Решение
Перепишем заданную

функцию в виде:



Ответ:


Слайд 14Производная сложной функции
Пример 1
Решение


Слайд 15Пример 2
Решение


Слайд 16Найдите производные функций:


Слайд 22Домашнее задание
Повторить:

Таблицу производных.

Правила дифференцирования.

3) Алгоритмы решения ключевых задач.

Подготовить свои

вопросы
и задания по данной теме. Выполнить задание по карточке



Слайд 23Желаю успехов!


Обратная связь

Если не удалось найти и скачать презентацию, Вы можете заказать его на нашем сайте. Мы постараемся найти нужный Вам материал и отправим по электронной почте. Не стесняйтесь обращаться к нам, если у вас возникли вопросы или пожелания:

Email: Нажмите что бы посмотреть 

Что такое ThePresentation.ru?

Это сайт презентаций, докладов, проектов, шаблонов в формате PowerPoint. Мы помогаем школьникам, студентам, учителям, преподавателям хранить и обмениваться учебными материалами с другими пользователями.


Для правообладателей

Яндекс.Метрика