Yokary matematika презентация

Слайд 1Ýokary matematika
.


Слайд 2DROB RASIONAL FUNKSIÝALARY INTEGRIRLEMEK.
Umumy okuwyñ meýilnamasy:

Ýönekeý rasional droblary

integrirlemek.
 
görnüşli droblary integrirlemek.
 
görnüşli droblary integrirlemek.




Слайд 3Ýönekeý diýlip, aşakdaky tiplerdäki algabraik rasional droblar hasaplanýarlar:






bu ýerde n>1-natural san;




Слайд 4.



bu ýerde

ýagny polinomyň hakyky kökleri ýokdur;



Слайд 5.




bu ýerde

n>1-natural san.
Hemme ýagdaýlarda





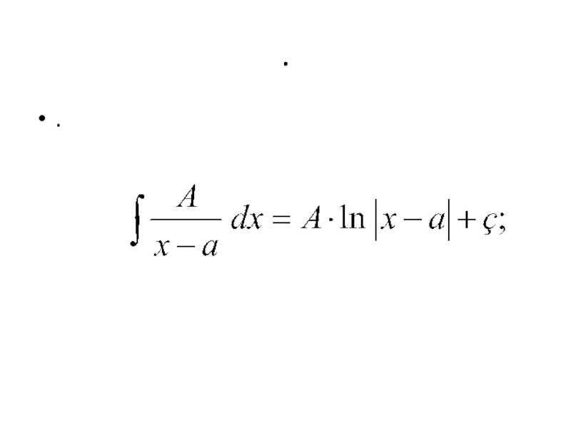
Слайд 8III tipdäki drobyň integraly üçin A=0 bolanda alarys:
.




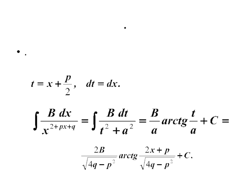
Слайд 12IÝ tipdäki integral üçin ýazarys:
.




Слайд 13.
bu ýerde



bellendi.
Soňky integralda

bu ýerde
bellendi.
Soňky integralda


Слайд 14belläp, aşakdaky görnüşe geleris:
.


Слайд 15Soňky integralda:


belläliň. Onda ;




Слайд 16Netije-de



Ýa-da



Слайд 17Ýa-da




(***) formula In – kesgitlemek üçin rekurent aňlatmadyr. Bu aňlatmany (**)

aňlatmada goýup taparys:
.




Слайд 19Gönükme.

integraly tapmaly.




Слайд 20Birinji integralda



ikinji integralda.



belläp, (***) formula boýunça alarys:


Слайд 22 Öňki üýtgeýänlere gaýdyp gelmek bilen taparys:
.


Слайд 23Barlag soraglary:
Drob rasional funksiýalar.
Ýönekeý drob rasional funksiýalary integrirlemek.
Drob rasional funksiýalaryñ integrirlenişi.
 


Обратная связь

Если не удалось найти и скачать презентацию, Вы можете заказать его на нашем сайте. Мы постараемся найти нужный Вам материал и отправим по электронной почте. Не стесняйтесь обращаться к нам, если у вас возникли вопросы или пожелания:

Email: Нажмите что бы посмотреть 

Что такое ThePresentation.ru?

Это сайт презентаций, докладов, проектов, шаблонов в формате PowerPoint. Мы помогаем школьникам, студентам, учителям, преподавателям хранить и обмениваться учебными материалами с другими пользователями.


Для правообладателей

Яндекс.Метрика