Выпускная квалификационная работа презентация

Слайд 1ВЫПУСКНАЯ КВАЛИФИКАЦИОННАЯ РАБОТА
ЦИФРОВОЙ БЛОК УПРАВЛЕНИЯ СИСТЕМОЙ ПРИВОДНЫХ МЕХАНИЗМОВ
Студентка
Научный руководитель
к.т.н., доцент
Царицына

Л.Г.

Демкин В.И.


Слайд 2Цель работы: разработка цифрового блока
управления системой приводных механизмов
Задачи:
1) Проанализировать

объект управления
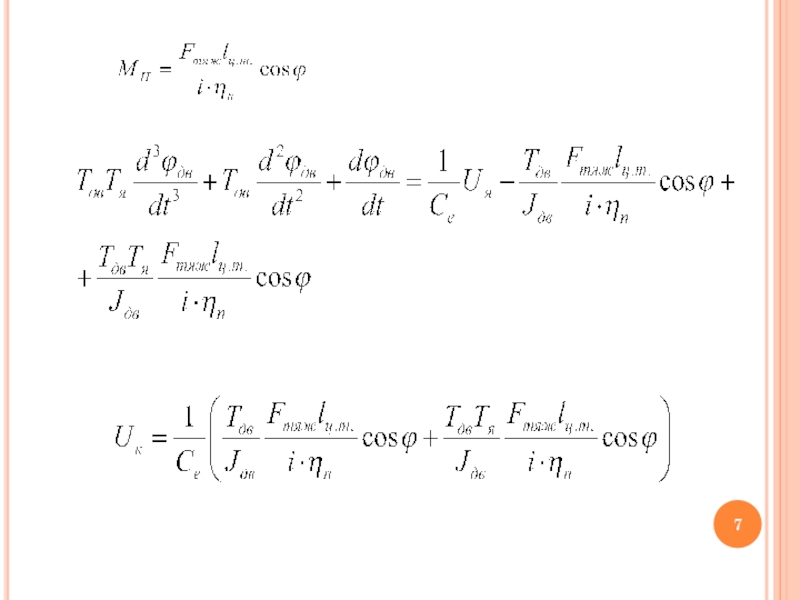
2) Синтезировать линейный регулятор в соответствии с
желаемыми параметрами
3) Промоделировать линейную модель системы управления в
программном пакете
4) На основе линейной модели составить дискретную
передаточную функцию регулятора и получить разностные
уравнения

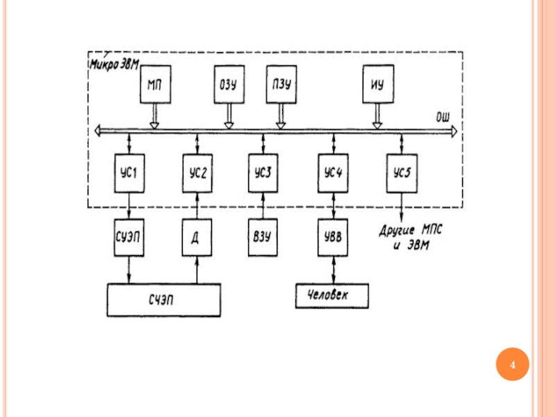
Слайд 3

Технические требования:
1) диапазон входных воздействий ±10В, диапазон выходных воздействий ±15В;
2) точность

навода механизма 0,1º;
3) время регулирования не более 0,3 с;
4) перерегулирование не более 30%;
5) частота дискретизации не более 200 Гц.

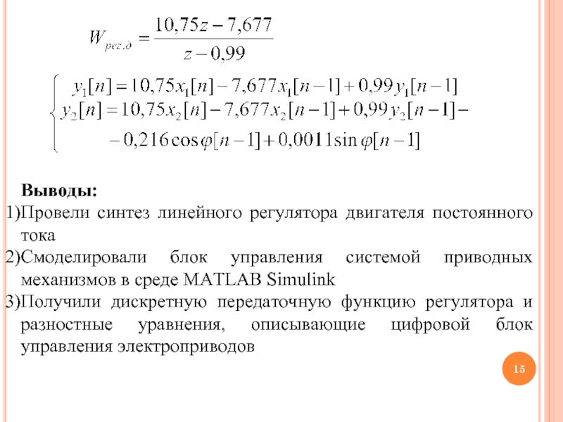
Слайд 15Выводы:
Провели синтез линейного регулятора двигателя постоянного тока
Смоделировали блок управления системой приводных

механизмов в среде MATLAB Simulink
Получили дискретную передаточную функцию регулятора и разностные уравнения, описывающие цифровой блок управления электроприводов

Слайд 16Доклад закончен.
Спасибо за внимание!


Обратная связь

Если не удалось найти и скачать презентацию, Вы можете заказать его на нашем сайте. Мы постараемся найти нужный Вам материал и отправим по электронной почте. Не стесняйтесь обращаться к нам, если у вас возникли вопросы или пожелания:

Email: Нажмите что бы посмотреть 

Что такое ThePresentation.ru?

Это сайт презентаций, докладов, проектов, шаблонов в формате PowerPoint. Мы помогаем школьникам, студентам, учителям, преподавателям хранить и обмениваться учебными материалами с другими пользователями.


Для правообладателей

Яндекс.Метрика