Воздухопроницаемость – свойство ОК пропускать воздух презентация

Слайд 1Воздухопроницаемость
– свойство ОК пропускать воздух


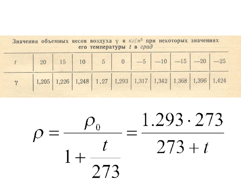
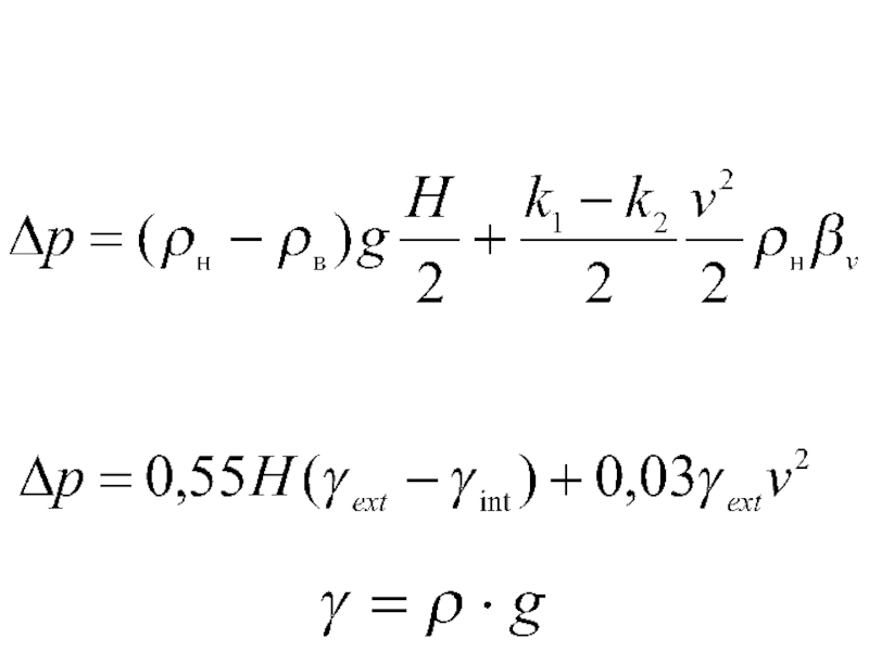
Слайд 2Разность давлений воздуха на наружной и внутренней поверхностях ОК следует определять по формуле



Слайд 5Нейтральная плоскость
– плоскость нулевого избыточного давления


Слайд 11Коэффициент воздухопроницаемости материала



Слайд 13Сопротивление инфильтрации



Обратная связь

Если не удалось найти и скачать презентацию, Вы можете заказать его на нашем сайте. Мы постараемся найти нужный Вам материал и отправим по электронной почте. Не стесняйтесь обращаться к нам, если у вас возникли вопросы или пожелания:

Email: Нажмите что бы посмотреть 

Что такое ThePresentation.ru?

Это сайт презентаций, докладов, проектов, шаблонов в формате PowerPoint. Мы помогаем школьникам, студентам, учителям, преподавателям хранить и обмениваться учебными материалами с другими пользователями.


Для правообладателей

Яндекс.Метрика