Применение метода рационализации при решении неравенств и систем неравенств презентация

Слайд 1Применение метода рационализации при решении неравенств и систем неравенств


Слайд 2Метод рационализации заключается
в замене сложного выражения F(x) на
более простое выражение G(x),
при

которой
неравенство G(x)v0 равносильно
неравенству F(x)v0 в
области определения выражения F(x).

Слайд 3Выделим некоторые выражения F
и соответствующие им
рационализирующие выражения G,
где f,g,h,p,q – выражения

с
переменной x (h>0,h

1, f>0, g>0),

1).

а – фиксированное число (a>0, a


Слайд 5Некоторые следствия с учетом области
определения неравенства:









*
*
*
*


Слайд 6Пример 1.
Решить неравенство:
Решение:






Слайд 7





-
-
+
+
-2
2
1




ОТВЕТ:





Слайд 8Пример 2.
Решить неравенство:
Решение:











Слайд 9





-
+
-2
1
0




ОТВЕТ:





-1
-1
0
1
+
-
-
+





Слайд 10Решить неравенства:

Пример 3.

Пример 4.


Пример 5.


Пример 6.








ОТВЕТ
ОТВЕТ
ОТВЕТ
ОТВЕТ


Слайд 11Пример 7.



Пример 8.



Пример 9.






ОТВЕТ


ОТВЕТ
ОТВЕТ


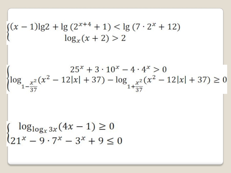
Слайд 12Решить систему неравенств:


1.


2.


3.


Слайд 13Решить неравенство
(из сборника МИОО):



Слайд 15




-
+
1/2
3
2




ОТВЕТ:




+
-




0
-1


Пример 3
НАЗАД


Слайд 16




-
+
6
2




ОТВЕТ:





1
3
9
+
-
+






Пример 4
НАЗАД


Слайд 17





+
-
-1
3
1




ОТВЕТ:





0
-1
0
2
+
-
+


(2;3)
Пример 5
НАЗАД


Слайд 18



-
+
-2
1




ОТВЕТ:





-1
-1
0
+
-






Пример 6
НАЗАД


Слайд 19




-
+
-3
1
0




ОТВЕТ:





-1
-1/2
4
+
+
-






Пример 7
НАЗАД


Слайд 20




-
+
3




ОТВЕТ:





1
1
2
+
+
-






Пример 8






НАЗАД


Слайд 21

3/2




ОТВЕТ:





0
5/4






Пример 9


НАЗАД


Обратная связь

Если не удалось найти и скачать презентацию, Вы можете заказать его на нашем сайте. Мы постараемся найти нужный Вам материал и отправим по электронной почте. Не стесняйтесь обращаться к нам, если у вас возникли вопросы или пожелания:

Email: Нажмите что бы посмотреть 

Что такое ThePresentation.ru?

Это сайт презентаций, докладов, проектов, шаблонов в формате PowerPoint. Мы помогаем школьникам, студентам, учителям, преподавателям хранить и обмениваться учебными материалами с другими пользователями.


Для правообладателей

Яндекс.Метрика