Обратная матрица. Вычисление обратной матрицы. презентация

Слайд 1Обратная матрица. Вычисление обратной матрицы.


Слайд 2Обра́тная ма́трица — такая матрица A−1, при умножении на которую, исходная

матрица A даёт в результате единичную матрицу E:


Квадратная матрица обратима тогда и только тогда, когда она невырожденная, то есть её определитель не равен нулю.

Для неквадратных матриц и вырожденных матриц обратных матриц не существует.

Слайд 3Вычисление обратной матрицы с помощью алгебраических дополнений


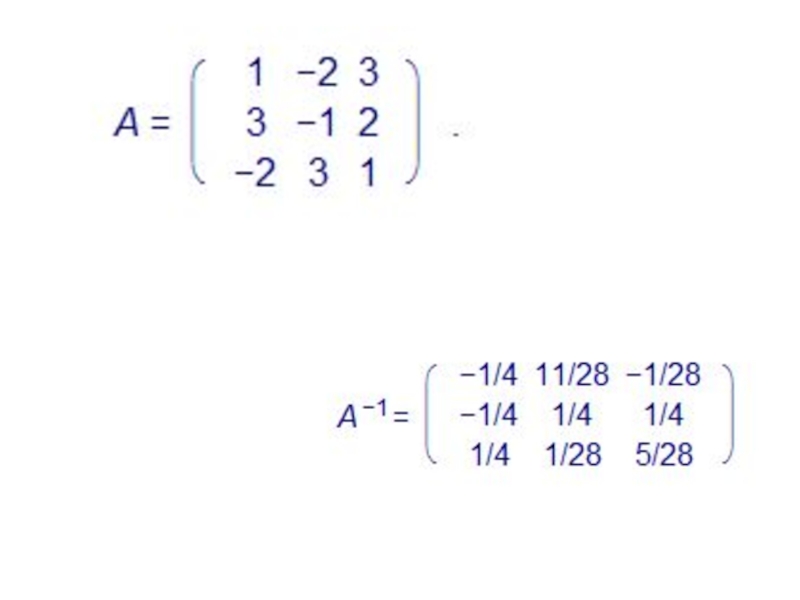
Слайд 5Нахождение обратной матрицы
Найти матрицу, обратную данной

1) Находим определитель матрицы

2)

Составляем союзную матрицу

Т.о. обратная матрица существует.







3) Полученную матрицу транспонируем


4) Обратная матрица



Слайд 13http://www.academiaxxi.ru/WWW_Books/HM/La/06/07/e.htm


Обратная связь

Если не удалось найти и скачать презентацию, Вы можете заказать его на нашем сайте. Мы постараемся найти нужный Вам материал и отправим по электронной почте. Не стесняйтесь обращаться к нам, если у вас возникли вопросы или пожелания:

Email: Нажмите что бы посмотреть 

Что такое ThePresentation.ru?

Это сайт презентаций, докладов, проектов, шаблонов в формате PowerPoint. Мы помогаем школьникам, студентам, учителям, преподавателям хранить и обмениваться учебными материалами с другими пользователями.


Для правообладателей

Яндекс.Метрика