Indoor TVHoReCa презентация

Слайд 1Indoor TV HoReCa


Слайд 2HoReCa. Indoor TV
RED-Media представляет сеть LCD-мониторов для размещения рекламы в сегменте

HoReCa.
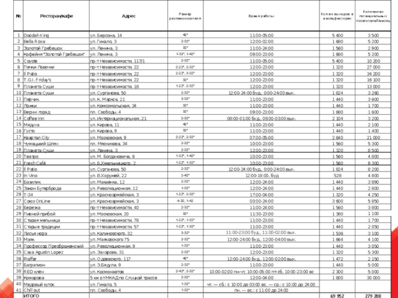
Сеть LCD-мониторов объединяет ведущие заведения Минска.
LCD-мониторы – в большинстве случаев единственная возможность для размещения рекламы в точке HoReCa.
Выходы рекламных блоков – каждые 15 минут.
Возможность размещения рекламных роликов и статичных заставок. Разработка электронной барной карты.

Слайд 3Аудитория проекта
Проект позволяет охватить широкую аудиторию.
Портрет целевой аудитории:
Средний возраст: 20-40 лет.
Уровень

заработка: средний-выше среднего.
Образ жизни: преимущественно активный.
12:00-15:00 – обеденное предложение для представителей малого-среднего бизнеса – активное посещение HoReCa.
18:00-22:00 – время ужина и вечерних встреч – наибольшая наполняемость, широкая аудитория.
Утреннее, послеобеденное время – деловые встречи, переговоры.

Слайд 4Описание формата
Рекламоноситель: LCD-телевизор с диагональю 22”, 32”, 42’’

(в зависимости от параметров заведения), с возможностью размещения на нем видеороликов и фильмов любой продолжительности, статичных и динамичных заставок и презентаций.


Слайд 5Кафе «Fresh Café» (ул.Б.Хмельницкого,2)

Ресторан «In Vino» (ул.В.Хоружей,22)
Indoor TV. Примеры размещения


Слайд 6Ресторан «Il Patio» (ул. Сурганова, 50)

Ресторан «Печки-Лавочки»

(пр. Независимости, 22)

Indoor TV. Примеры размещения


Слайд 7Ресторан «Casa Agustin Lopez» (ул. Захарова, 31)

Ресторан «Берёзка» (пр-т Независимости,40)
Indoor TV. Примеры

размещения

Слайд 8Механика
12 минут – вещание ТВ канала в заведении.
Разрыв рекламной заставкой RED-Media

– аудио и визуальное привлечение внимания к экранам посетителей.
Трансляция Вашего рекламного ролика/заставки
Завершение рекламного блока заставкой RED-Media.
Через 12 минут ТВ повторение Вашего рекламного блока.

* В HoReCa LCD-мониторы работают без аудио сигнала, т.к. в заведениях установлены системы с фоновым
музыкальным сопровождением. В отдельных случаях заведение оставляет за собой право включить звук на
LCD-мониторах.


Слайд 10

ООО «РЕД-Медиа»
Тел.: (017) 327 43 92

220030, Беларусь, Минск
Ул. Комсомольская,

3

С наилучшими пожеланиями!


Обратная связь

Если не удалось найти и скачать презентацию, Вы можете заказать его на нашем сайте. Мы постараемся найти нужный Вам материал и отправим по электронной почте. Не стесняйтесь обращаться к нам, если у вас возникли вопросы или пожелания:

Email: Нажмите что бы посмотреть 

Что такое ThePresentation.ru?

Это сайт презентаций, докладов, проектов, шаблонов в формате PowerPoint. Мы помогаем школьникам, студентам, учителям, преподавателям хранить и обмениваться учебными материалами с другими пользователями.


Для правообладателей

Яндекс.Метрика