Бункерно-загрузочные устройства презентация

Слайд 1Бункерно-загрузочные устройства
(БЗУ)


Слайд 2Линейная и круговая циклограммы БЗУ


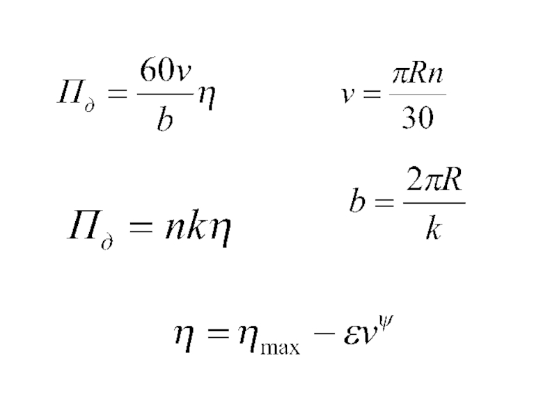
Слайд 3Производительность БЗУ


Слайд 5Производительность и коэффициент выдачи БЗУ


Слайд 6Производительность и коэффициент выдачи БЗУ


Обратная связь

Если не удалось найти и скачать презентацию, Вы можете заказать его на нашем сайте. Мы постараемся найти нужный Вам материал и отправим по электронной почте. Не стесняйтесь обращаться к нам, если у вас возникли вопросы или пожелания:

Email: Нажмите что бы посмотреть 

Что такое ThePresentation.ru?

Это сайт презентаций, докладов, проектов, шаблонов в формате PowerPoint. Мы помогаем школьникам, студентам, учителям, преподавателям хранить и обмениваться учебными материалами с другими пользователями.


Для правообладателей

Яндекс.Метрика