Синтез лоратадина презентация

Слайд 1«Синтез лоратадина »
Выполнил студент Группы О-28
Иншаков Артём


Слайд 2Описание препарата
Название по uPAC – Этиловый эфир 4-(8-Хлор-5,6-дигидро-11Н-бензо-[5,6]циклогепта [1,2-b]пиридин-11-илиден)-1-пиперидинкарбоновой кислоты
Фармакологическая группа

вещества Лоратадин – H1 – антигистаминные средства


Слайд 3Полная схема синтеза лоратадина


Слайд 5Механизм первой стадии синтеза


Слайд 6Механизм второй стадии синтеза


Слайд 7Механизм третий стадии синтеза


Слайд 9Механизм четвертой стадии синтеза


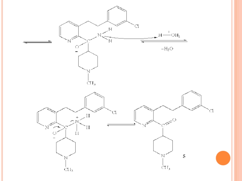
Слайд 12Механизм пятой стадии синтеза


Обратная связь

Если не удалось найти и скачать презентацию, Вы можете заказать его на нашем сайте. Мы постараемся найти нужный Вам материал и отправим по электронной почте. Не стесняйтесь обращаться к нам, если у вас возникли вопросы или пожелания:

Email: Нажмите что бы посмотреть 

Что такое ThePresentation.ru?

Это сайт презентаций, докладов, проектов, шаблонов в формате PowerPoint. Мы помогаем школьникам, студентам, учителям, преподавателям хранить и обмениваться учебными материалами с другими пользователями.


Для правообладателей

Яндекс.Метрика